new year, new skills – save 40% on all online courses
Dirty vs Clean Price
April 17, 2025
Dirty and Clean Prices
There are two types of prices to consider when looking at bonds: the dirty price and the clean price.
What is the Clean Price?
The clean price of a bond is the price excluding any accrued interest. It is the bond price quoted in most markets and reflects the market’s perception of the bond’s value, considering factors like credit risk, interest rate risk, and time to maturity. The clean price tends to be quoted in the US.
The clean price is calculated from the dirty price by subtracting the accrued interest. This allows the market to focus on the bond’s fundamentals without the noise of daily variations caused by accrued interest ahead of coupon payments.
Accrued interest is the interest that has accumulated on the bond since the last coupon payment up to the purchase date of the bond. It represents the interest earned by the seller during their ownership of the bond.
What is the Dirty Price?
The dirty price of a bond is the price that includes accrued interest. It is the actual amount paid by investors when buying the bond, reflecting the current value of the bond plus any interest that has accumulated since the last coupon payment. The dirty price tends to be quoted more in Europe and will change daily.
The dirty price is calculated using the yield to maturity formula, which discounts all future cash flows of the bond at the same discount rate. This gives the current value of the bond, which is the dirty price. The dirty price changes daily as interest accrues, causing price fluctuations that do not necessarily reflect changes in the bond’s market value or risk profile.
When a coupon payment has just been made, there will be no accrued interest so the clean and dirty price will be the same.
Key Learning Points
- The dirty price of a bond includes accrued interest (since the last coupon payment) and is the actual amount paid by investors when buying the bond
- The clean price of a bond excludes accrued interest and is the price quoted in most markets and reflects the market’s perception of the bond’s value
- The clean price considering factors like credit risk, interest rate risk, and time to maturity
- The dirty price is calculated using the yield to maturity formula, which discounts all future cash flows of the bond at the same discount rate
- To calculate the clean price, you first determine the accrued interest and then subtract it from the dirty price
- Accrued interest is the interest that has accumulated on the bond since the last coupon payment up to the purchase date of the bond
Accrued Interest
Accrued interest is the interest that has accumulated on the bond since the last coupon payment up to the purchase date of the bond. It is important to include accrued interest in bond pricing because it represents the interest earned by the seller during their ownership of the bond.
Calculating Dirty Prices
To calculate the dirty price, analysts need to be able to calculate the accrued interest and add it to the clean (published) price.
The formula for calculating the dirty price is:
Bonds can be quoted in different ways: for example, a US government bond price can be shown as a Fractional Quotation (e.g. 100-7, meaning the bond is trading at 100 and 7/32nds of its par value) or in a Decimal Quotation (e.g. 100.2188%). Both these prices are the same and reflect a bond with a par value of $100,000 that is priced at $100,218,80. There is a global trend towards the decimalization of pricing.
The dirty price requires being able to firstly calculate Accrued Interest.
This is the formula for accrued interest:
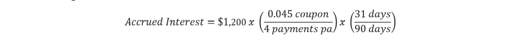
Let’s look at an example in more detail. If we had a bond paying a coupon of 4.5% and reaching maturity in 2026. The coupon is paid quarterly (starting April 1st), and the bond was purchased at the start of 2023 (January 1st) for $1,200.
The first step in calculating prices is to work out the accrued interest over the period using the formula given
This would give accrued interest of $4.65.
Therefore, the clean price would remain $1,200, but the dirty price would be $1,200 + $4.65 = $1,204.65.
Real-World Example of a Dirty Price
Let’s consider a five-year bond that pays an annual coupon of 2.4% and currently trades at a yield of 2.43%. The bond has exactly five years remaining until maturity, and the last coupon has just been paid. Since there is no accrued interest, the clean price is the same as the dirty price, calculated using the yield to maturity formula, which discounts future cash flows back to today. The calculated price would be 99.8603%, and this is both the clean and the dirty price because the coupon was just paid.
Download a free Excel template walking through the steps to price the bond and calculate yield to maturity.
Calculating Clean Prices
To calculate the clean price, you first determine the accrued interest and then subtract it from the dirty price. For example, using the actual/actual day count convention and assuming a non-leap year, you can calculate the accrued interest by multiplying the coupon rate by the fraction of the year that has passed since the last coupon payment.
Example of the Clean Price
Continuing from the previous example, if one day has passed since the last coupon payment, the dirty price now needs to include one day of accrued interest, slightly increasing to 99.8669%.
To calculate the clean price, you subtract the accrued interest from the dirty price, arriving at a virtually unchanged clean price of 99.8603%.
Dirty Vs. Clean Pricing
The dirty price includes accrued interest and is the actual amount paid by the buyer. The clean price excludes accrued interest and is the price quoted in most markets. The clean price allows the market to focus on the bond’s fundamentals without the noise of daily variations caused by accrued interest.
Clean prices remain relatively stable, as shown in this chart of a 2.4% 5Y bond. However, the dirty price will move daily, reflecting the build-up of accrued interest, before reverting to the clean price on a coupon payment date. (In this example an annual coupon.) The dirty price tends to follow a saw tooth pattern, as interest builds up and is then paid out.
Conclusion
The dirty price includes accrued interest, representing the actual amount paid by investors, while the clean price excludes accrued interest, reflecting the bond’s published price and ‘value’ in the current market. It is important to distinguish between them both and understand the accrued interest in a bond when looking at the prices.






