new year, new skills – save 40% on all online courses
Discount Factor Template
August 20, 2024
Download our free Discount Factor Template to streamline the calculation of present values and unlock the power of discounted cash flow analysis. This essential template simplifies the process of computing discount factors, enabling you to accurately assess the time value of money and make informed investment decisions.
What is a Discount Factor?
A discount factor is a weighting factor used to convert future cash flow values into their present values. It is a decimal number that is multiplied by the future cash flow to discount it to its present value. Discount factors are crucial in financial modeling, particularly when performing discounted cash flow (DCF) analysis to compute the present value of future cash flows or calculate the net present value (NPV) of an investment.
Download the Free Discount Factor Template
Enter your email in the form below and download the free Discount Factor Template now.

Steps for Using the Discount Factor Template
- Download the free Discount Factor Template
- Input the required financial data including the discount rate (%), the number of periods or years (the template is set at 10 years), and the undiscounted cash flows
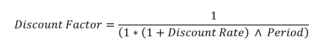
- The template will automatically calculate the discount factor for each period using the formula:

- Review the calculated discount factors, which will decrease over time due to the compounding effect
- Multiply the undiscounted cash flow for each period by the corresponding discount factor to obtain the discounted cash flow or present value
- Sum up the individual discounted cash flows to derive the total net present value (NPV) of the cash flows
What You’ll Get with the Discount Factor Template
- Streamlined Discount Factor Calculation: the template automates the computation of discount factors, saving you time and reducing the risk of errors
- Customizable Periods: easily adjust the number of periods or years to align with your specific analysis needs
- Present Value Calculation: multiply the discount factors by the undiscounted cash flows to obtain the present values for each period
- Net Present Value (NPV) Computation: sum up the individual discounted cash flows to derive the total NPV, a crucial metric for investment evaluation
- Scenario Analysis: perform sensitivity analysis by adjusting the discount rate and observing the impact on discount factors and present values
Don’t miss out on this powerful tool for discounted cash flow analysis and investment evaluation. Download our free Discount Factor Template today and gain insights into the time value of money and the present value of future cash flows.
More Free Financial Templates
