new year, new skills – save 40% on all online courses
Dividend Discount Model
October 10, 2024
What Is the Dividend Discount Model (DDM)?
The Dividend Discount Model (DDM) is a method of valuing a company’s stock price. It is based on the theory that its stock is worth the sum of all of its future dividend payments, discounted back to their present value. This method is only suitable for companies which are committed to paying regular dividends.
Key Learning Points
- A DDM model can be used to estimate the value of a company’s stock based on its expected future dividends and the cost of equity
- It typically requires inputs such as the current dividend, a dividend growth rate, and cost of equity
- Investors tend to use the DDM on stable mature companies generating regular dividend payments
- If the model calculates a price target which is above the current share price it suggests investors should consider buying the stock at this price
- There are several DDMs to account for growth phases in dividend modelling including: Gordon’s Growth Model, Single Period DDM and Multiple Period DDM
Dividend Discount Model Formula (DDM)
The formula for the Dividend Discount Model (DDM) is as follows:

- (D1) = Expected dividend for the next period
- (r) = Rate of return expected by investors
- (g) = Growth rate for dividends, in perpetuity
How to Build a Dividend Discount Model
To build a Dividend Discount Model (DDM), follow these steps:
- Build a three-statement model: start by building the balance sheet first, followed by the income statement and cash flow statement
- Calculate dividends: determine the maximum dividends that can be paid from the company cash flows using a percentage growth rate
- Sum the future dividends and discount: use the cost of equity to discount the dividends to their present value
- Calculate terminal value: use the Gordon Growth Model to calculate the terminal value based on the final dividend and growth rate
- Sum the present values: add the present values of the dividends and the terminal value to get the equity value of the company
Dividend Discount Model Variations
There are several types of Dividend Discount Model, including:
- Gordon Growth Model (GGM): assumes a constant growth rate
- Two-Stage DDM: assumes two distinct growth phases
- Multi-Stage DDM: allows for multiple growth phases
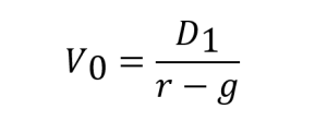
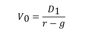
Gordon Growth Model
The Gordon Growth model is named after Myron J Gordon, it is a simple DDM that assumes that dividends will grow at a constant rate into infinity. This model can be used to value stocks of stable companies who do not see much variation in cash flows, and as a result not much variation in their dividend payout rate.
The formula can be used to calculate the present value from an infinite period of dividend payments as it assumes they will be paid at a constant growth rate.
The GGM formula is as follows:

V0 = Fair value of the stock
D1 = Dividend paid out in the next period
r = Estimated cost of equity
g = Constant dividend growth rate into perpetuity
An example of the calculation is shown below:

In terms of limitations of the model, one factor is that it does not consider macro conditions or business cycles which may impact any company’s ability to pay a constant growth rate of dividends into infinity. The Gordon Growth Model assumes one constant growth rate through into perpetuity, so if more sophisticated modelling is required (particularly if a company is in a growth stage or uncertain period) it may be useful to consider other dividend discount models.
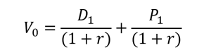
Single-Period Dividend Discount Model
A single-period DDM is used when the stock is expected to be sold following one period. It takes into calculation the dividend that will be paid within that single time-period and the expected stock price at the end of that period. It discounts both of this value to present day to calculate the current fair price of the stock.
The formula is as follows:

V0 = Fair value of the stock
D1 = Dividend paid out in the next period
P1 = Stock price in the next period
r = estimated cost of equity
If we were to use the previous example and calculate the potential stock value at the end of the first period using the single-period DDM, it would look like this:

This calculation suggests that the stock price is worth $33.60, which is lower than the current stock price and therefore not an investment opportunity for anyone looking to purchase shares at this point.
The key variables in this model would be the cost of equity and the assumption for the stock price at the end of the period. Analysts would need to ensure that these were as accurate as possible, and possibly include sensitivity analysis on both variables to create a robust investment case.
Zero Growth DDM: The Zero Growth Dividend Discount Model (DDM) assumes that dividends will remain constant indefinitely. Given the dividend growth is expected to be flat (or zero), the formula for this model is:
P0 = D/r
Where (P0) is the current stock price, (D) is the annual dividend, and (r ) is the required rate of return.
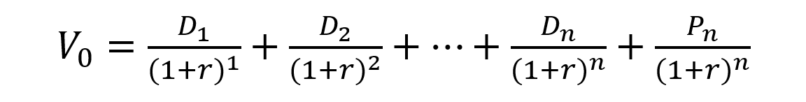
Multi-Period Dividend Discount Model
A multi-period DDM is used when the stock is expected to be held for more than one period. The formula is therefore an extension of the single period DDM. Unlike the GGM, different growth rates can be applied to the different time periods within this formula. The following formula can be used to estimate the present-day stock value based on dividends paid into infinite number of time periods.

V0 = Fair value of the stock
D1 = Dividend paid out in the next period
D2 = Dividend paid out in the second period
Dn = Dividend paid out in the nth period
Pn = Stock price in the nth period
r = Estimated cost of equity
n = Time period
There are different types of multiple-period models that can be used:
Two-Stage Dividend Discount Model: The Two-Stage DDM assumes that a company will experience two distinct phases of growth: an initial phase of high growth followed by a stable growth phase. It also assumes that the cost of equity remains constant throughout both phases.
Three-Stage DDM: The Three-Stage DDM is an extension of the Two-Stage DDM. It assumes three different growth rates: an initial high-growth period, a transition period, and a stable growth period. This model is useful for companies that are expected to experience different growth phases.
Variable Growth DDM: The Variable Growth DDM accounts for dividends that grow at different rates during different periods. This model is more complex and involves calculating the present value of dividends during the high-growth period and the present value of dividends during the stable growth period.
Choosing the Inputs for a Dividend Discount Model
There are two components of the Dividend Discount Model which require a certain level of assumption:
- Dividend Growth Rate: we need an assumption for the rate that dividends are expected to grow. Even the GGM, which assumes a constant growth rate, needs a calculation of what this figure should be. Generally, the growth rate can be deduced from how much the dividends have grown in the past or based on expected dividends to be paid as stated by the company itself. If neither is available, a growth rate based on economic factors, such as the long-term growth rate in GDP can also be used.
- Calculating the Cost of Equity: secondly since we are calculating the fair price of stock, the discount rate (r) should be equal to the cost of equity. Which is usually calculated via capital asset pricing model (CAPM) or using the average cost of equity within the organisation or the industry.
Example of a Multi-Period DDM
See example below of a multi period DDM model calculation:

The steps required to complete a multi-period DDM are:
- Calculate the future expected dividends based on the constant growth rate
- Calculate the discount rate to be used in the next steps to calculate the present value of both dividends and stock price
- Calculate the present value of dividends
- Calculate the present value of the expected stock price in year 5
- Sum the present value of both dividends and stock price to reach the fair value of the stock
Download the multi-period dividend discount excel model in the free downloads section. Work through the question provided to refine the valuation technique required to master this method. The template can then be saved to value future companies.
Dividend Discount Model vs. DCF Valuation: what is the difference?
The Dividend Discount Model (DDM) focuses on valuing a company based on its expected future dividends, while the Discounted Cash Flow (DCF) valuation method values a company based on its expected future cash flows. The DDM is particularly useful for companies that pay regular dividends, whereas DCF can be applied to a broader range of companies particularly if they generate solid cash flows.
Analyzing the DDM valuation method
The DDM can be a useful valuation method for analysts as it is relatively straightforward and a simple tool to use. The key advantages are:
- Simplicity: the DDM is straightforward and easy to understand
- Focus on Dividends: it directly values the dividends, which are the actual cash flows received by investors
- Long-Term Perspective: the model emphasizes long-term growth and sustainability
As with all valuation tools there are weaknesses of the Dividend Discount Model as well. Some of the shortcomings of the DDM include:
- Dividend Dependency: the model is only applicable to companies that pay dividends
- Growth Rate Assumptions: it relies heavily on the accuracy of growth rate assumptions
- Sensitivity to Inputs: the model is sensitive to changes in the required rate of return and growth rates
Conclusion
The Dividend Discount Model (DDM) is an effective tool for valuing a company’s stock price based on future dividend payments. Depending on the time period under analysis there are various DDMs which can be used to accurately asset the future value of a dividend-paying company. The key drawback is that it cannot be used for non-dividend paying companies. It also requires a level of conviction to support the assumptions for growth rates and rates of return. However, it remains a core valuation tool, particularly when a relatively quick valuation of a mature dividend-paying company is required. It can also be used to support other valuation methods such as DCFs and using sector metrics to cross-check a company’s share price potential.
