new year, new skills – save 40% on all online courses
Macaulay Duration
February 24, 2025
What Is the Macaulay Duration?
Named after the Canadian economist who first introduced the metric to the world of fixed income investing, Frederick Macaulay, Macaulay duration is a key tool that helps investors assess the time aspect of cash flow recovery. Measured in years, it shows how long would it take for an investor to be repaid the price they paid for the bond through a combination of both interest and principal payments (i.e. the capital repayment). A higher reading would indicate a higher sensitivity hence more risk, and vice versa. However, since credit quality isn’t considered, Macaulay duration should not be considered as a standalone risk metric for bonds.
Key Learning Points
- By calculating the weighted average time that it takes for an investor to receive all cash flows from a bond, the Macaulay duration measures the time to cash flow recovery
- It is useful risk indicator as it helps assess a bond’s sensitivity to changes in interest rates – longer duration would mean that the bond’s price will fluctuate more when rates shift
- Macaulay duration is fundamental in calculating modified duration – both are measures of risk, but are used in different ways as the latter measures the sensitivity to changes in interest rates expressed as a percentage of bond’s price
- Macaulay duration is also widely used in portfolio immunization strategies to align bond investments with future liabilities and therefore minimizing interest rate risk
Understanding the Macaulay Duration
Bond investors would typically have a view on the overall health of the economy and the outlook for interest rates in the markets they invest in. These views will be expressed through the duration of their portfolio, where longer dated bonds with low coupons will have the longest durations and those with shorter maturity dates or higher coupons will have shorter durations.
As a general rule, the longer the maturity of the bond, the more time there is for interest rates to change and impact the bond’s price. On the other hand, shorter durations are less sensitive to changing interest rates.
For example, as bond prices are inversely related to interest rates, should the investor anticipate interest rates to fall, they would construct a more sensitive portfolio of higher-duration bonds.
Although measured in years, Macaulay duration is different to the time to maturity as it equals the weighted average term to maturity of the cash flows from a bond. The factors that can affect Macaulay duration are coupon rates, time/term to maturity and yield to maturity. As shown on the graph above, bonds with a longer time to maturity are expected to be more volatile and those with higher coupon payments are typically less volatile (there is an inverse relationship with coupon rates). In addition, the bond’s Macaulay duration would be expected to decrease if interest rates go up.
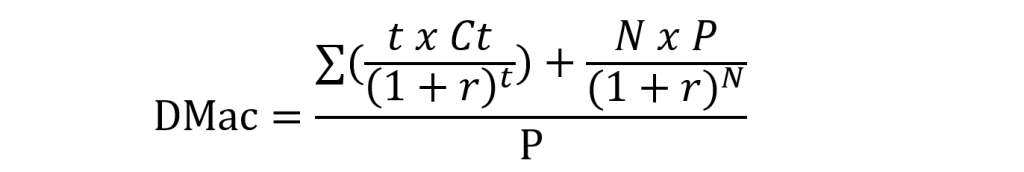
How to Calculate Macaulay Duration
The Macaulay duration calculation seeks to find the weighted average number of years that a bond should be held until the current value of its cash flows is the same as the price paid for the bond.
Therefore, it is essential to sum up the weights of each individual cash flow, determined by dividing its present value by its market price.

Where:
t = Time period (years) of each cash flow
Ct = Coupon payment in period t
r = Yield to maturity (YTM) per period
N = Total number of periods (maturity)
P = Present value (price) of the bond
P (Face Value) = Principal repayment at maturity
In this video we provide an example of how the Macaulay duration is calculated.
Macaulay Duration vs. Modified Duration
Another widely used risk measure in bond portfolio management is the modified duration. Unlike Macaulay duration, modified duration measures the sensitivity of the price of the bond to changes in interest rates in percentage terms. One of the main differences between the two measures is that modified duration can only be applied to fixed income instruments that will generate fixed cash flows. The below table shows the key differences between the two ratios.
Macaulay Duration of a Perpetuity
A perpetuity is a fixed interest instrument that pays an infinite stream of coupon payments. Unlike regular bonds, it never matures and therefore there is no repayment of the principal, but perpetuities continuously provide regular and consistent payments. An example of a perpetuity is the so called “War loan,” which governments issued to finance war efforts in the first and second world wars.
The price of perpetuities is calculated by dividing their annual coupon interest by the interest rate (or the expected yield).
The Macaulay Duration of a perpetuity focuses entirely on coupon payments and uses the below formula:
Where: r is the yield or discount rate per period.
For example, if the yield is 3%, the Macaulay duration of the bond will be:
DMac = (1 + 0.03) / 0.03 = 34.34 years
Conclusion
To sum up, the Macaulay duration is key measure that fixed income investors use to understand a bond’s sensitivity to interest rate changes and align investments with future liabilities (also known as immunization strategy) by calculating the weighted average time to receive payments. While it serves as a key measure for managing risk, it also forms the basis for more advanced measures like modified duration, which directly assesses the bond’s price volatility.


