new year, new skills – save 40% on all online courses
Net Present Value vs Internal Rate of Return
May 15, 2024
In capital budgeting, finance managers face the critical task of selecting investments that will enhance firm value. This decision-making process is pivotal as it directly influences a company’s financial health. Consider a finance manager at an oil company deliberating between two projects: Oilfield A, with higher costs per barrel but higher annual throughput, versus Oilfield B, with lower annual throughput but also lower fixed & variable costs. Which is better? That’s hard to say without analytical tools. In this blog, we’ll explore how NPV and IRR can guide the finance manager’s investment choice.
Key Learning Points
- NPV (Net Present Value) calculates the present value by discounting future net cash flows using cost of capital, guiding investment decisions with its focus on absolute dollar impact. Positive NPV indicates a value-adding project.
- IRR (Internal Rate of Return) is the rate at which an investment’s NPV equals zero, offering a profitability measure. Higher IRR suggests a more attractive project.
- Conflicts between NPV and IRR arise in comparing mutually exclusive projects due to different assumptions, especially regarding the discount rate. NPV is generally preferred for its realistic assumptions and clarity on firm value impact.
- NPV provides a direct measure of the value added but is sensitive to discount rates. IRR gives clear rate of return comparisons but may be unrealistic in reinvestment assumptions and erroneous in case of non-traditional cash flows.
What is Time Value of Money?
Receiving a $100 bill today is more valuable than receiving the same amount in a year for the following reasons:
- You can invest the money to earn interest or dividends
- Inflation will decrease the purchasing power of the $100 over a year
- There’s no guarantee you’ll receive the $100 next year, making immediate possession a more certain and sensible option
Due to the reasons outlined above, the real value of the $100 diminishes over time. To evaluate varying cash flow scenarios across different options, we commonly use NPV or IRR.
What is NPV?
Net present value (NPV) is a method that discounts all cash flows back to their present value using the cost of capital and then adding together the present values. The assumption underlying NPV is that all future cash flows are reinvested at the cost of capital rate. The higher the NPV, the more attractive the project.
What Happens if NPV is Negative?
In the NPV is negative, reject the proposal. It would decrease the firm’s value.
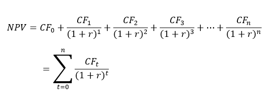
The NPV equation is as follows:

Here, CFt represents the cash flow at time t, while r denotes the discount rate (the project’s cost of capital), and n is the project duration. Cash outflows, such as capital expenditures and lease payments, are considered negative cash flows. Cash inflows, like revenue, are considered positive cash flows.
Note: t=0 signifies the start of the project, effectively day 1. There is no need for discounting at this stage, as any amount at t=0 already reflects its present value.
Illustration 1: Oilfield A vs Oilfield B
(Click to zoom)
According to NPV analysis, Oilfield A has a higher NPV than Oilfield B. Therefore, Oilfield A would be the right choice.
What is IRR?
Internal rate of return (IRR) is the rate at which the NPV equals zero. Essentially, IRR is the rate at which discounted cash inflows equal to cash outflows. It assumes all future cash flows are reinvested at the IRR. When discussing bonds, the IRR is analogous to the Yield to Maturity (YTM). The higher the IRR, the better the project.
To demonstrate how IRR is used in a simple scenario, consider an initial investment of $100. Three years later, you receive $300. The IRR can be calculated using the formula:

This calculation provides an IRR, indicating the annual growth rate of the investment over the three-year period.
However, in practice, especially with more complex cash flows, calculating the IRR is not as straightforward and usually involves trial and error, or interpolation methods. Most analysts use software like Excel to determine the IRR because of the complexity of the calculations involved. The general equation for calculating the IRR when multiple cash flows are involved is as follows:

Here, CFt represents the cash flow at time t, while n is project duration, CO denotes cash outflow and CI signifies cash inflow.
Can IRR be Positive if the NPV is Negative?
Yes, this situation can occur when a project’s cost of capital exceeds the IRR. In such cases, reject the proposal.
Illustration 2: Oilfield A vs. Oilfield B
(Click to zoom)
According to IRR analysis, Oilfield B has a higher IRR than Oilfield A, suggesting Oilfield B is the preferred choice. However, NPV analysis indicates Oilfield A is better. So, which one should be chosen? Let’s understand the distinction.
Conflicts Between NPV vs IRR
In many respects, NPV is considered a superior metric to IRR because it directly reflects the net value added to the firm. However, IRR cannot be entirely disregarded, as it remains one of the most widely used metrics in corporate finance.
If you look at the independent project, NPV and IRR will give you the exact same result. A positive NPV says accept the project. At the same time, positive NPV implies that the IRR is higher than the cost of capital, indicating returns are higher than the cost.
But if you look at two mutually exclusive projects, IRR and NPV might rank the two projects differently. It’s important to note that while the IRR remains constant for both projects, the NPV varies with changes in the cost of capital. At a specific cost of capital, the NPVs for both projects may coincide, a phenomenon known as the crossover rate, exemplified by Oilfield A and Oilfield B as below.
Illustration 3: Oilfield A vs. Oilfield B


As you can see above, the crossover rate in this scenario is 8.9%. Therefore, if the cost of capital remains below this rate, Oilfield A will yield a higher NPV; otherwise, Oilfield B will surpass Oilfield A in terms of NPV. Below the crossover rate, a conflict arises between NPV and IRR analyses. However, above this rate, both analyses will favor Oilfield B over Oilfield A.
To determine the crossover rate, where the NPVs of two projects are equal, you can use Excel’s Goal Seek function. This tool allows you to adjust the cost of capital until the NPVs of both projects match. For a detailed guide on how to use Goal Seek for this purpose, consider checking the download section.
It’s crucial to emphasize that for mutually exclusive projects, the NPV method is preferred for following reasons:
- It quantifies the net value added to the firm
- It assumes reinvestment at the cost of capital rate, which is more realistic than the IRR’s assumption
Advantages and Disadvantages of NPV and IRR
| NPV | IRR | |
| Advantages | Absolute value: NPV provides the absolute dollar value of an investment’s worth, making it straightforward to understand the direct financial impact.
Reinvestment rate assumption: The discount rate in NPV can be aligned with the company’s cost of capital or any other rate reflecting the risk of the cash flows, which is often more realistic than the reinvestment rate assumption in IRR. |
Rate of return:
|
| Disadvantages | Discount rate sensitivity: Choosing the appropriate discount rate can be subjective and significantly influences the NPV. A slight change in the discount rate can lead to a dramatically different NPV.
Scale issue: NPV doesn’t provide a rate of return, making it difficult to compare projects of different sizes directly. A larger project may have a higher NPV but may not necessarily be the better investment when considering the size of the initial outlay. |
Multiple IRRs: For projects with alternating cash flows (positive and negative), there can be multiple IRRs, making the decision-making process ambiguous. To counter this, one should use XIRR function in an excel. Check download section to explore this.
Reinvestment assumption: IRR assumes that the cash flows generated by the project can be reinvested at the IRR itself, which might not be realistic, especially for high IRR projects. |
NPV vs. IRR in Investment Banking
In investment banking, NPV is particularly crucial in company valuations as it translates future cash flows into today’s dollars, offering an absolute value that can directly correlate to a company’s potential market share price. This absolute value is vital for investors assessing the intrinsic worth of a company in a straightforward and tangible manner. On the other hand, IRR is extensively used in leveraged buyouts (LBOs), where investors primarily focus on achieving a specific return on the capital invested. In LBO scenarios, the IRR helps determine the maximum payable price for a target company while still achieving the desired financial yield. By working backwards from a required IRR, investors can strategically calculate the bid price that aligns with their investment criteria, ensuring that the financial structure will yield profitable returns. Understanding these two metrics allows investment bankers to tailor their strategies effectively, whether they’re evaluating a potential acquisition or optimizing the financial structure of a buyout.
Conclusion
While both NPV and IRR are critical in capital budgeting decisions, they come with distinct advantages and challenges. NPV is preferred for its direct impact on firm value and realistic assumptions, though sensitivity to discount rates must be considered. IRR offers valuable comparability insights but may lead to the problem of multiple IRR in projects with fluctuating cash flows. Finance managers should weigh both metrics, considering the strategic context and specific project characteristics, to make informed investment decisions.


